- La zone Buzz rapporte 1,55 g/t Au sur 15,4 m, dont 3,08 g/t Au sur 5,3 m
- La zone Nord rapporte 4,00 g/t Au sur 5,7 m, dont 6,65 g/t Au sur 2,0 m
Le 21 Novembre 2024 – Vancouver, Canada – First Mining Gold Corp. (« First Mining » ou la « Société ») (TSX : FF) (OTCQX : FFMGF) (FRANCFORT : FMG) a le plaisir d’annoncer de nouveaux résultats de forage de la phase 3 du programme de forage au diamant de 2024 sur son projet aurifère de Duparquet (« Projet Duparquet » ou le « Projet ») situé au Québec. Cette année, 4 194 m supplémentaires ont été forés en six trous sur les cibles de la zone Buzz et de la zone Nord, dans le but de démontrer l’opportunité de croissance des deux cibles prioritaires d’expansion des ressources à limite ouverte sur le Projet Duparquet.
Les forages dans la zone Buzz ont donné des résultats positifs sur une distance latérale de 170 m entre les nouveaux trous forés. Un total de 1 875 m en trois forages a été récemment réalisé, et les faits saillants de ces forages comprennent le forage DUP24-028 qui a rapporté 1,55 g/t Au sur 15,4 m (y compris 3,08 g/t Au sur 5,3 m), le forage DUP24-029 qui a rapporté 1,19 g/t Au sur 35,3 m, et 2,63 g/t Au sur 14,0 m (y compris 30,50 g/t Au sur 0,85 m), démontrant à la fois des teneurs et des largeurs encourageantes dans une zone de croissance potentielle des ressources et d’opportunités d’expansion de l’exploration.
La zone Buzz est située immédiatement au sud des ressources minérales existantes du Projet Duparquet et on sait qu’elle se trouve le long de corridors à forte déformation dans des zones cisaillées et bréchifiées qui chevauchent ou traversent les marges de la syénite de Beattie. La cible globale Buzz reste sous-explorée et est ouverte à la fois en amont et en aval-pendage de la zone initiale d’interception et fera l’objet de campagnes de forage de suivi.
D’autres forages dans la zone Nord continuent de donner des résultats positifs alors que First Mining teste le prolongement de la minéralisation vers l’est et en profondeur au-delà des limites des travaux d’exploration précédents. Un total de 2 319 m a été réalisé dans trois trous, ce qui confirme une extension latérale de 130 m vers l’est de la ressource actuelle. Parmi les faits saillants des récents travaux de forage, le sondage DUP24-032 a rapporté 4,00 g/t Au sur 5,70 m (y compris 6,65 g/t Au sur 2,0 m) et le sondage DUP24-031 a rapporté 1,61 g/t Au sur 8,35 m (y compris 5,02 g/t Au sur 1,65 m), ce qui démontre l’importante continuité de la teneur de la zone Nord le long de l’axe et en aval-pendage.
La zone Nord est située le long du contact volcanique syénite-mafique de Beattie qui est connu pour contenir une minéralisation à plus haute teneur le long de zones à forte déformation et bréchifiées qui se trouvent le long de structures d’évasement interprétées de la zone de faille Destor-Porcupine (« DPFZ« ).
« Nous sommes heureux d’annoncer ces nouveaux résultats positifs de notre programme de forage au diamant de la phase 3 à Duparquet », a déclaré Dan Wilton, chef de la direction de First Mining. « L’exploration à Duparquet est une priorité pour First Mining et ces résultats continuent de démontrer le potentiel du projet en dehors de notre estimation actuelle des ressources minérales. Nos programmes d’exploration s’appuient sur une solide base géoscientifique et nous placent en bonne position pour nos prochaines phases de forage. »
Le programme de forage de la phase 3 a débuté en mai 2024 et un total de 9 564 m de forage a été réalisé à ce jour. Les résultats en suspens s’élèvent à 4 557 m et First Mining prévoit de communiquer les résultats finaux au quatrième trimestre 2024. Le programme de la phase 3 s’est concentré sur des cibles prioritaires dans le but de tester par forage et de faire progresser de multiples zones d’expansion potentielle des ressources sur l’ensemble du Projet Duparquet. First Mining estime que les cibles de la zone Buzz et de la zone Nord offrent un potentiel important de croissance des ressources qui continuera à progresser avec des phases d’exploration supplémentaires sur le Projet.
Un plan des trous de forage de la zone Buzz et de la zone Nord est présenté dans la figure 1, et les faits saillants des analyses correspondantes sont présentés dans le tableau 1, avec les résultats d’analyse complets dans le tableau 2 et les emplacements des trous de forage dans le tableau 3.
Tableau 1 : Intercepts de forage significatifs sélectionnés, programme de forage de la phase 3 de 2024 – cibles de la zone Buzz et de la zone Nord

*Les intervalles rapportés sont des longueurs de carottes forées (les largeurs réelles sont estimées à 30-85% de l’intervalle de longueur de la carotte, les valeurs d’analyse ne sont pas coupées).
Figure 1 : Vue en plan de certains trous de forage du programme de la phase 3 dans les cibles de la zone Buzz et de la zone Nord.
Programmes d’exploration de 2024 à Duparquet
Les activités d’exploration ont continué à progresser sur le Projet Duparquet tout au long de l’année 2024, avec les programmes de forage de la phase 3 et de travaux régionaux sur le terrain qui se terminent maintenant pour l’année. Les résultats d’analyse à l’arrivée sont en cours d’examen et l’accent est mis sur l’interprétation et l’intégration des données de 2024 – y compris les données géochimiques, géophysiques, de carottes orientées et de susceptibilité magnétique – dans les modèles géoscientifiques 3D, afin de soutenir la délimitation de nouvelles cibles d’expansion.
Les efforts d’exploration progressent avec le développement et l’examen des programmes de suivi pour 2025, en maintenant l’accent sur la stratégie d’exploration géoscientifique intégrée de la société.
Détails supplémentaires sur le forage de la cible Buzz
La stratégie de forage de la zone Buzz est axée sur l’augmentation des ressources immédiatement au sud des ressources minérales actuelles de Duparquet. La zone Buzz s’étend actuellement sur 300 m de longueur et 200 m de profondeur entre les trous de forage. La cible reste ouverte en amont et en aval-pendage le long de la plongée centrale de la minéralisation aurifère. La zone Buzz a été initialement découverte au cours du programme de forage 2023 de First Mining, le trou de forage DUP23-002 ayant recoupé 6,52 g/t Au sur 4,6 m (voir le communiqué de presse daté du 5 septembre 2023).
La campagne de forage de suivi de 2024 à Buzz, comprenant trois trous – DUP24-028, DUP24-029, et DUP24-030 (Figures 2 et 3), a permis de mieux définir la zone aurifère dans l’axe et en profondeur. La minéralisation dans les trois trous consiste en une minéralisation de pyrite disséminée à grain fin à très fin, une altération de silice et de séricite omniprésente, et est encaissée dans des unités de syénite ou le long de contacts syénite-argilite et volcaniques. Les zones à plus haute teneur sont cohérentes le long des zones de déformation supérieure interprétées D2, qui se caractérisent par un fort cisaillement et/ou une bréchification observée dans la carotte.

Figure 2 : La zone Buzz mettant en évidence DUP24-028 et DUP24-030 qui ciblent la continuité potentielle de la minéralisation le long du côté ouest de la cible. Les intercepts significatifs sont mis en évidence en fond de trou, avec des zones à plus haute teneur identifiées le long d’unités de syénite bréchique minéralisée altérée. La coupe transversale est orientée vers l’ouest.

Figure 3 : La zone Buzz, mettant en évidence DUP24-029 qui cible la continuité potentielle de la minéralisation de la cible vers l’est. Les intercepts significatifs sont mis en évidence en fond de trou, avec des zones à plus haute teneur identifiées le long d’unités de syénite minéralisée altérée et bréchique. La coupe transversale est orientée vers l’ouest.
La campagne de forage 2024 a permis de définir, d’étendre et de délimiter des tendances à plus haute teneur dans la zone Buzz et les récents résultats de forage continuent de soutenir la zone comme une zone cible très prometteuse pour le Projet, avec le potentiel de débloquer une minéralisation significative le long de la direction, car la cible reste ouverte dans toutes les directions (figure 4). La zone Buzz demeure une zone prioritaire pour l’exploration et l’expansion potentielle de la ressource minérale de Duparquet.

Figure 4 : Vue en plan et en coupe représentative de la zone cible de Buzz, mettant en évidence les intersections significatives obtenues en 2024 ainsi que les zones cibles des prochains sondages visant à débloquer de futures opportunités d’exploration.
Détails supplémentaires sur le forage de la zone Nord
La stratégie de forage de la zone Nord est axée sur le ciblage des extensions en profondeur et latérales, en mettant l’accent sur les tendances potentielles à haute teneur qui soutiennent la continuité de la minéralisation en aval-pendage. En juin 2024, First Mining a annoncé les résultats de forage du sondage DUP24-024 qui a recoupé plusieurs zones aurifères, notamment 10,67 g/t Au sur 5,3 m, 6,63 g/t Au sur 9,0 m, 3,04 g/t Au sur 33,5 m et 5,97 g/t Au sur 33,0 m (voir le communiqué de presse du 18 juin 2024), et a identifié une zone de contact volcanique syénitique-mafique nouvellement interprétée qui est fortement favorable à une minéralisation aurifère à haute teneur en raison d’attributs géochimiques et rhéologiques. Les premiers sondages ciblant la zone Nord ont mené à une interprétation géologique 3D actualisée, identifiant une zone de contact entre la stratigraphie volcanique mafique et la stratigraphie syénitique en profondeur. Ces résultats mettent en évidence d’importantes possibilités d’expansion des ressources dans l’axe et en profondeur. La deuxième phase de forages, y compris les forages rapportés dans ce communiqué de presse, cible l’extension latérale de la zone Nord le long de la zone de contact nouvellement interprétée.
Les forages DUP24-031 (Figure 5), DUP24-032 (Figure 6) et DUP24-033 (Figure 7) étaient tous des forages d’extension le long de l’axe de la principale zone de contact stratigraphique projetée entre la syénite et les roches volcaniques mafiques. Les trois sondages ont recoupé cette zone stratigraphique modélisée qui est définie par un basalte fortement folié et/ou cisaillé au contact nord de l’unité de syénite de Beattie. Le sondage DUP24-031 a recoupé une syénite fortement altérée par la silice et la séricite avec une augmentation des veines de carbonate de quartz et jusqu’à 5 % de minéralisation en pyrite à grain fin, qui contenait une minéralisation aurifère près de la zone de contact. Le sondage DUP24-032 a recoupé un basalte cisaillé altéré par la séricite avec jusqu’à 10 % de minéralisation disséminée de pyrite à grain très fin, à proximité de la zone de contact. Le sondage DUP24-033 a recoupé la zone de contact volcanique syénite-mafique en profondeur avec un basalte fortement cisaillé et altéré par la silice et la séricite, la minéralisation se trouvant dans la zone de contact d’un éclat de 5,5 m de syénite altérée par la silice avec jusqu’à 1 % de minéralisation de pyrite à grain fin.

Figure 5 : Forage de la zone Nord mettant en évidence le forage DUP24-031, qui cible l’extension potentielle de la minéralisation le long de la direction est de la zone Nord qui est encaissée dans l’unité volcanique mafique nouvellement identifiée. Les interceptions significatives sont mises en évidence en fond de trou, avec des zones à plus haute teneur identifiées l long d’unités de syénite minéralisée altérée. La coupe transversale est orientée vers l’ouest.

Figure 6 : Forage de la zone Nord mettant en évidence DUP24-032, qui cible l’extension potentielle de la minéralisation le long de la direction est de la zone Nord qui est encaissée dans l’unité volcanique mafique nouvellement identifiée. Les interceptions significatives sont mises en évidence en fond de trou, avec des zones à plus haute teneur identifiées le long d’unités de basalte cisaillé minéralisées et altérées. La coupe transversale est orientée vers l’ouest.

Figure 7 : Forage de la zone Nord mettant en évidence DUP24-033, qui cible l’extension potentielle de la minéralisation le long de la direction est de la zone Nord qui est encaissée dans l’unité volcanique mafique nouvellement identifiée. La coupe transversale est orientée vers l’ouest.
La campagne de forage de 2024 dans la zone Nord a permis de définir et de délimiter des tendances à plus haute teneur et d’étendre la zone de minéralisation de 130 m vers l’est le long de la direction et de la plongée, alors que la cible reste ouverte vers l’est et en profondeur. Les interprétations en cours du forage permettront d’améliorer la compréhension géologique, de mieux comprendre les contrôles à haute teneur et de soutenir l’expansion de la minéralisation dans la zone Nord. La cible reste une zone très prometteuse pour le Projet Duparquet, car les résultats des forages de 2024 ont montré que cette zone contenait une minéralisation aurifère significative avec le potentiel de débloquer une minéralisation et une teneur significatives le long de la direction et en profondeur (Figure 8).

Figure 8 : Vue en plan de la zone Nord et coupe longitudinale mettant en évidence les principaux sondages effectués en 2024, notamment les sondages DUP24-031 à DUP24-033, qui étaient les trois sondages ciblant la continuité potentielle de la minéralisation en aval-pendage le long du contact syénite-volcanique. Le contact syénite-volcanique s’est avéré être l’hôte d’une minéralisation aurifère à plus haute teneur à travers la cible de la zone Nord. Des interceptions significatvefs sont mises en évidence en fond de trou, avec des zones à plus haute teneur identifiées le long d’unités de syénite minéralisée altérée. La cible de la zone Nord reste ouverte en profondeur et le long de la direction de plongée vers l’est.
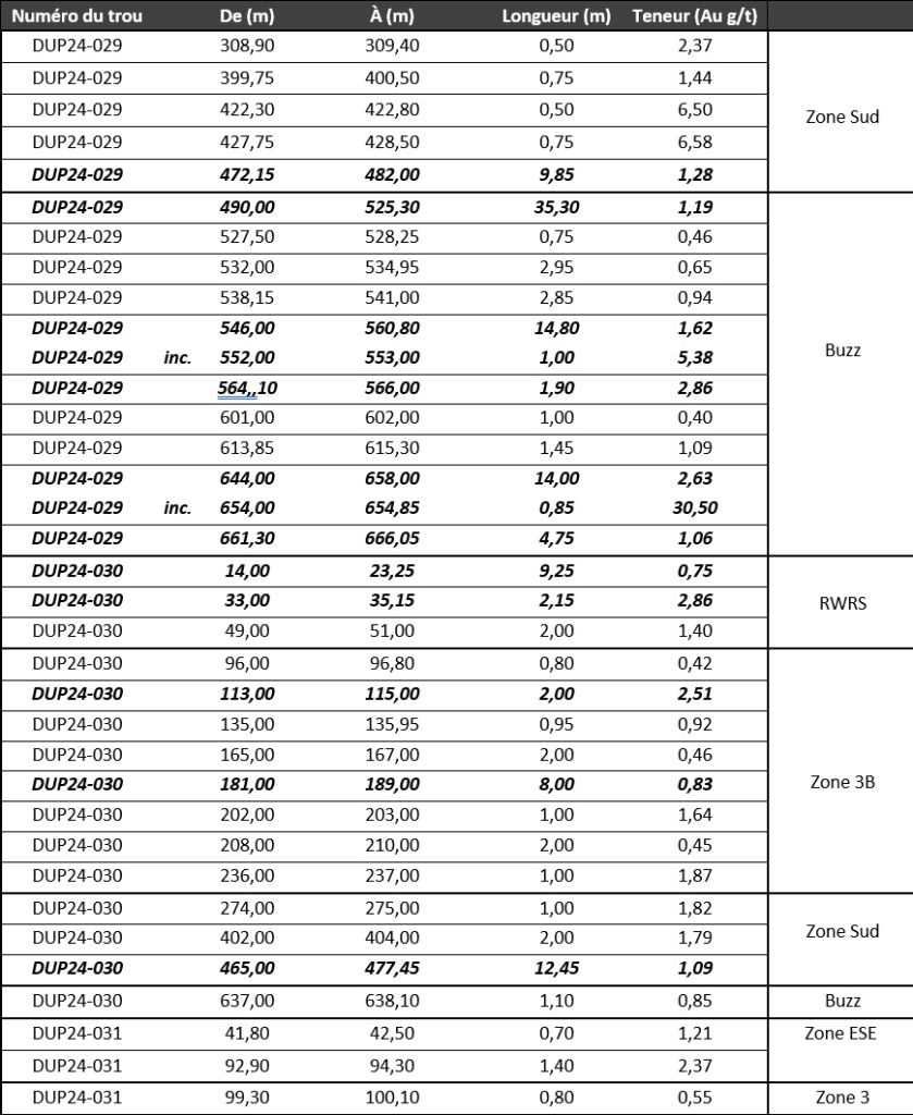
Tableau 2 : Forages de la phase 3 de 2024 – Essais significatifs




*Les intervalles rapportés sont des longueurs de carottes forées (les largeurs réelles sont estimées à 30-85% de l’intervalle de longueur de la carotte ; les valeurs d’analyse ne sont pas coupées).
Tableau 3 : Emplacement des trous de forage de la phase 3, cibles de la zone Buzz et de la zone Nord

Note : Coordonnées du collier en UTM NAD 83 z17
À propos du projet aurifère de Duparquet
Le Projet Duparquet est géologiquement situé dans la partie sud de la ceinture de roches vertes de l’Abitibi et se trouve géographiquement à environ 50 km au nord de la ville de Rouyn-Noranda. Le Projet bénéficie d’un accès facile et de la proximité d’une main-d’œuvre et d’infrastructures existantes, notamment des routes, des voies ferrées et un réseau hydroélectrique. Le Projet Duparquet renferme actuellement des ressources aurifères conformes à la Norme canadienne 43-101, soit 3,44 millions d’onces dans la catégorie des ressources mesurées et indiquées à une teneur de 1,55 g/t Au, et 2,64 millions d’onces supplémentaires dans la catégorie des ressources présumées, à une teneur de 1,62 g/t Au. First Mining a réalisé une évaluation économique préliminaire1 (« EEP ») en 2023 (voir les communiqués de presse du 7 septembre 2023 et du 23 octobre 2023).
Le Projet Duparquet totalise environ 5 800 hectares répartis sur 19 kilomètres de longueur le long de la prolifique zone de faille Destor-Porcupine, ainsi que sur de nombreux segments minéralisés et linéaments secondaires influents. Le Projet Duparquet comprend les anciennes mines Beattie, Donchester et Duquesne, ainsi que les gisements Central Duparquet, Dumico et Pitt Gold.
1 De plus amples détails sur l’EEP de Duparquet se trouvent dans le rapport technique intitulé « NI 43-101 Technical Report : Preliminary Economic Assessment, Duparquet Gold Project, Quebec, Canada » daté du 20 octobre 2023, qui a été préparé pour First Mining par G Mining Services Inc. conformément à la Norme NI 43-101 et qui est disponible sous le profil SEDAR de First Mining à l’adresse www.sedarplus.ca.
Laboratoire d’analyse et procédures AQ/CQ
Tous les échantillons prélevés par First Mining dans le cadre de ses programmes d’exploration sont soumis à des programmes internes de contrôle et d’assurance de la qualité (AQ/CQ) qui comprennent l’insertion de matériaux de référence certifiés, de matériaux vierges et d’un niveau d’analyse en double. Les échantillons de carottes du programme de forage 2024 à Duparquet ont été envoyés à AGAT Laboratories, avec préparation des échantillons à Val d’Or et analyse à Thunder Bay, où ils ont été traités pour l’analyse de l’or par essai pyrognostique de 50 grammes avec une finition par absorption atomique. Des échantillons provenant de certains trous ont été envoyés à AGAT Laboratories à Calgary, Alberta, pour une analyse multi-éléments (y compris l’argent) par la méthode du plasma inductif (ICP) avec une digestion à quatre acides. Les systèmes d’AGAT Laboratories sont conformes aux exigences de la norme ISO/IEC 17025 et répondent aux exigences de la norme NI 43-101 en matière d’analyse.
Personne qualifiée
Louis Martin, géo., consultant géologique principal de First Mining, est une « personne qualifiée » conformément à la Norme canadienne 43-101 sur l’information concernant les projets miniers, et il a examiné et approuvé les informations scientifiques et techniques contenues dans le présent communiqué de presse.
À propos de First Mining Gold Corp.
First Mining est un promoteur aurifère qui fait avancer deux des plus grands projets aurifères au Canada, le projet aurifère Springpole dans le nord-ouest de l’Ontario, où nous avons commencé une étude de faisabilité et où les activités d’autorisation sont en cours avec une déclaration d’impact environnemental finale / évaluation environnementale pour le projet soumise en novembre 2024, et le projet Duparquet au Québec, un projet de développement au stade de l’EEP situé sur la zone de faille Destor-Porcupine dans la région prolifique de l’Abitibi. First Mining possède également le projet aurifère Cameron en Ontario et un portefeuille de projets aurifères, notamment le projet aurifère Pickle Crow (en cours de développement en partenariat avec Firefly Metals Ltd.), et le projet aurifère Hope Brook (en cours de développement en partenariat avec Big Ridge Gold Corp.).
First Mining a été créée en 2015 par M. Keith Neumeyer, président fondateur et PDG de First Majestic Silver Corp.
AU NOM DE FIRST MINING GOLD CORP.
Daniel W. Wilton
Chef de la direction et administrateur
Pour plus d’informations, veuillez contacter
Numéro sans frais : 1 844 306 8827 | Courriel : info@firstmininggold.com
Paul Morris | Directeur, Relations avec les investisseurs | Email : paul@firstmininggold.com
Mise en garde concernant les déclarations prévisionnelles
Le présent communiqué de presse contient certaines « informations prévisionnelles » et « déclarations prévisionnelles » (collectivement « déclarations prévisionnelles ») au sens de la législation canadienne et américaine applicable en matière de valeurs mobilières, y compris la loi américaine Private Securities Litigation Reform Act de 1995. Ces déclarations prévisionnelles sont faites à la date du présent communiqué de presse. Les déclarations prévisionnelles sont souvent, mais pas toujours, identifiées par des termes tels que « s’attendre à », « anticiper », « croire », « planifier », « projeter », « avoir l’intention de », « estimer », « envisager », « potentiel », « possible », « stratégie », « buts », « opportunités », « objectifs », ou des variations de ces termes, ou déclarant que certaines actions, événements ou résultats « peuvent », « pourraient », « seraient », ou « seront » pris, se produisent ou sont atteints, ou la forme négative de l’un de ces termes et d’autres expressions similaires.
Les énoncés prévisionnels contenus dans ce communiqué de presse se rapportent à des événements futurs ou à des performances futures et reflètent les estimations, prédictions, attentes ou croyances actuelles concernant des événements futurs. Tous les énoncés prévisionnels sont fondés sur les croyances actuelles de First Mining ou de ses consultants, ainsi que sur diverses hypothèses qu’ils ont formulées et sur l’information dont ils disposent actuellement. Il n’y a aucune garantie que ces déclarations se révèlent exactes, et les résultats réels et les événements futurs pourraient différer matériellement de ceux anticipés dans ces déclarations. Les déclarations prévisionnelles reflètent les convictions, les opinions et les projections à la date à laquelle elles sont faites et reposent sur un certain nombre d’hypothèses et d’estimations qui, bien que considérées comme raisonnables par les parties concernées, sont intrinsèquement soumises à d’importantes incertitudes et éventualités commerciales, économiques, concurrentielles, politiques et sociales. Ces facteurs comprennent, sans s’y limiter, le fait que les activités, les opérations et la situation financière de la société puissent être matériellement affectées par l’apparition d’épidémies, de pandémies ou d’autres crises sanitaires, et par les réactions des acteurs gouvernementaux et privés à de telles épidémies ; les risques pour la santé et la sécurité des employés résultant de l’apparition d’épidémies, de pandémies ou d’autres crises sanitaires, qui peuvent entraîner un ralentissement ou une suspension temporaire des activités dans tout ou partie des propriétés minières de la société ainsi qu’à son siège social ; les fluctuations des prix au comptant et à terme de l’or, de l’argent, des métaux de base ou de certaines autres matières premières ; les fluctuations des marchés des devises (telles que le dollar canadien par rapport au dollar américain) ; les fluctuations des taux d’intérêt et des taux de change ; les fluctuations des taux d’intérêt et des taux de change ; l’évolution des gouvernements nationaux et locaux, de la législation, de la fiscalité, des contrôles, des réglementations et des développements politiques ou économiques ; les risques et dangers associés à l’exploration minière, au développement et à l’exploitation minière (y compris les risques environnementaux, les accidents industriels, les formations inhabituelles ou inattendues, les pressions, les effondrements et les inondations) ; l’existence de lois et de réglementations susceptibles d’imposer des restrictions à l’exploitation minière ; les relations avec les employés ; les relations avec les communautés locales, les populations autochtones et les autres parties prenantes, ainsi que leurs revendications ; la disponibilité et l’augmentation des coûts associés aux intrants miniers et à la main-d’œuvre ; la nature spéculative de l’exploration et du développement miniers ; les titres de propriété. Ces risques sont décrits dans la notice annuelle de la société pour l’exercice clos le 31 décembre 2023, déposée auprès des autorités canadiennes de réglementation des valeurs mobilières sous le profil SEDAR de la société, à l’adresse www.sedar.com, et dans le rapport annuel de la société sur le formulaire 40-F, déposé auprès de la SEC sur EDGAR.
First Mining met en garde contre le fait que la liste des facteurs susceptibles d’affecter les résultats futurs n’est pas exhaustive. Lorsqu’ils s’appuient sur nos énoncés prévisionnels pour prendre des décisions concernant First Mining, les investisseurs et les autres personnes devraient examiner attentivement les facteurs susmentionnés ainsi que d’autres incertitudes et événements potentiels. First Mining ne s’engage pas à mettre à jour les déclarations prévisionnelles, qu’elles soient écrites ou orales, qui peuvent être faites de temps à autre par la société ou en son nom, sauf si la loi l’exige.
Avertissement aux investisseurs américains
La société est un « émetteur privé étranger » au sens de la règle 3b-4 du United States Securities Exchange Act de 1934, tel que modifié, et peut se prévaloir du régime d’information multinational Canada-États-Unis. Elle est donc autorisée à préparer les informations techniques contenues dans le présent document conformément aux exigences des lois sur les valeurs mobilières en vigueur au Canada, qui diffèrent des exigences des lois sur les valeurs mobilières actuellement en vigueur aux États-Unis. En conséquence, les informations concernant les gisements minéraux présentées ici peuvent ne pas être comparables aux informations rendues publiques par les sociétés qui publient leurs rapports conformément aux normes américaines.
Les informations techniques contenues dans ce communiqué de presse n’ont pas été préparées conformément aux exigences des lois sur les valeurs mobilières des États-Unis et utilisent des termes conformes aux normes de déclaration du Canada, certaines estimations étant préparées conformément au règlement 43-101.
La Norme 43-101 est une règle élaborée par les Autorités canadiennes en valeurs mobilières (ACVM) qui établit des normes pour toutes les informations scientifiques et techniques communiquées au public par un émetteur au sujet de ses projets miniers importants.

